Skip to contents

This document contains the entire data analysis pipeline aphantasiaCognitiveClustering was built for and the associated results reported in the article “Unsupervised clustering reveals spatial and verbal cognitive profiles in aphantasia and typical imagery” (Delem et al., 2025).

The main dataset used for the analysis is included in the package as the study_data data frame.

id age sex group education field field_code occupation occupation_code vviq osivq_o osivq_s osivq_v psiq_vis psiq_aud psiq_od psiq_gout psiq_tou psiq_sens psiq_feel score_raven score_sri span_spatial span_digit wcst_accuracy score_similarities score_comprehension
7210 25 m Control Master Social sciences, journalism, information 3 Health 5 65 45 45 54 8.00 7.67 8 7.33 8.33 8.67 8.00 14 27 5.43 6.07 78 30 24
7213 22 f Control Master Social sciences, journalism, information 3 Student 3 59 47 45 47 7.67 9.00 6 8.67 9.00 9.00 7.00 17 26 3.79 6.14 72 27 23
7238 52 f Control Bachelor Natural sciences, mathematics, statistics 5 Information, Communications 8 43 44 46 44 7.00 7.33 7 6.67 7.00 6.00 7.00 11 22 2.79 3.93 67 26 24
7242 48 f Control Post-secondary Business, Administration, Law 4 Business, Administration 7 73 46 35 23 7.67 8.33 9 7.00 8.67 7.33 8.00 7 15 2.14 3.50 25 20 16
7254 37 f Aphantasic Doctorate Health and Welfare 9 Health 5 16 32 30 50 1.00 1.00 1 1.00 1.00 1.00 1.00 12 16 3.36 3.07 45 22 20
7257 36 m Control Bachelor Natural sciences, mathematics, statistics 5 Business, Administration 7 55 64 48 47 6.67 8.00 7 3.33 5.00 7.00 8.67 12 26 4.00 3.57 23 29 9

VVIQ group analysis

We first analysed the data in light of the VVIQ groups, examining differences between individuals with aphantasia and controls.

Demographic variables

We tested the education level, fields of study and occupations of the participants for any association with the two groups. The get_association_models() function was designed to compute Bayes Factors for associations between a grouping variable (here group) and the variables education, field and occupation in the data. The computation relies on the BayesFactor package.

The associated function format_association_table() extracts the contingency table from the nested output of get_association_models() and formats it into a clean table.

df_association <- get_association_models(study_data, group)

df_association |> dplyr::select(Variable, log_bf10)
#> # A tibble: 3 × 2
#> # Rowwise:  Variable
#>   Variable   log_bf10
#>   <chr>         <dbl>
#> 1 Education     -4.88
#> 2 Field         -5.41
#> 3 Occupation    -4.37

format_association_table(df_association, "Education")
#> # A tibble: 6 × 3
#>   Education       Control Aphantasic
#>   <fct>             <int>      <int>
#> 1 Other                 5          4
#> 2 Upper secondary       1          0
#> 3 Post-secondary        9          5
#> 4 Bachelor             17         17
#> 5 Master               17         16
#> 6 Doctorate             2          3

format_association_table(df_association, "Field")
#> # A tibble: 11 × 3
#>    Field                                        Control Aphantasic
#>    <fct>                                          <int>      <int>
#>  1 Generic programmes                                 4          4
#>  2 Education                                          1          1
#>  3 Arts, humanities                                   9         12
#>  4 Social sciences, journalism, information          11          4
#>  5 Business, Administration, Law                     10          8
#>  6 Natural sciences, mathematics, statistics          6          4
#>  7 Information, communication technologies            4          4
#>  8 Engineering, manufacturing, construction           3          3
#>  9 Agriculture, forestry, fisheries, veterinary       1          1
#> 10 Health and Welfare                                 2          3
#> 11 Services                                           0          1

format_association_table(df_association, "Occupation")
#> # A tibble: 9 × 3
#>   Occupation                  Control Aphantasic
#>   <fct>                         <int>      <int>
#> 1 No answer                         1          1
#> 2 Unemployed                        1          1
#> 3 Student                          20         12
#> 4 Science and Engineering           2          4
#> 5 Health                            2          6
#> 6 Teaching                          4          3
#> 7 Business, Administration          9         10
#> 8 Information, Communications       8          6
#> 9 Social, Cultural, Legal           4          2

Main score variables

We analysed the main questionnaire and task score variables in the data, which are: the VVIQ, the three OSIVQ subscales (object, spatial, verbal), the seven Psi-Q subscales (vision, auditory, smell, taste, touch, sensations, feelings), the Raven matrices, the SRI (spatial test), the digit span, the spatial span, the similarities test, the WCST (executive functions test), and the reading comprehension task.

We fitted Bayesian linear models to the various variables to model them with participant groups as categorical predictors and age as a continuous covariate so as to control for the potential influence of the latter. We used the bayestestR package to compute the Bayes Factor for inclusion of the grouping variable and the age covariate in the models. To get Bayes Factors for the contrasts between the groups, we fitted models for the prior and posterior distributions using the rstanarm package (with default settings) then used the emmeans package to compute the contrasts.

The get_mean_sd() function provides a quick way to compute and format the mean and standard deviation of the variables for each group, while the get_bf_inclusion() and get_contrast_bf() functions take care of the two modelling steps described above. All three are wrapped in the get_full_model_table() function, which is designed to run the full analysis pipeline for each variable in any long format data frame with the appropriate columns. The get_longer() function is designed to perform this transformation from wide to long format easily, returning clean column names and values.

study_data |> 
  get_longer() |> 
  dplyr::select(id, Group, Variable, value) |> 
  head()
#> # A tibble: 6 × 4
#>   id    Group   Variable       value
#>   <chr> <fct>   <fct>          <dbl>
#> 1 7210  Control VVIQ           65   
#> 2 7210  Control OSIVQ-Object   45   
#> 3 7210  Control OSIVQ-Spatial  45   
#> 4 7210  Control OSIVQ-Verbal   54   
#> 5 7210  Control Psi-Q Vision    8   
#> 6 7210  Control Psi-Q Audition  7.67

The code to fit everything is straightforward:

study_data |> get_longer() |> get_full_model_table(Group)

The number of models to fit is quite large, so this code does not run here. However, the results are saved natively in the package in the models_list object. The resulting data frame for the two groups is the first item of this list:

models_list$group_models |> 
  filter_study_variables("original") |> 
  dplyr::select(!Comparison) |> 
  knitr::kable()
Variable Control Aphantasic Group Age Group ×\times Age Difference (Δ\Delta) 95% CrI log(BF10)log(BF_{10})
VVIQ 58.08 (10.81) 18.33 (4.24) 84.58 -1.67 -1.41 39.67 [36.21, 43.18] 64.33
OSIVQ-Object 54.04 (9.63) 24.6 (6.96) 61.48 -1.40 -0.82 29.37 [25.76, 32.76] 37.94
OSIVQ-Spatial 43.59 (9.25) 39.22 (8.75) 0.56 -1.68 -1.72 4.46 [0.84, 8.29] -0.70
OSIVQ-Verbal 43.22 (7.52) 49.38 (11.13) 2.62 -1.23 -1.16 -6.39 [-10.12, -2.53] 1.63
Psi-Q Vision 8.33 (1.47) 1.76 (1.21) 86.57 -1.39 -1.28 6.55 [6, 7.1] 58.94
Psi-Q Audition 8.08 (1.74) 2.92 (2.79) 35.38 -0.38 0.67 5.08 [4.15, 5.96] 24.25
Psi-Q Smell 7.01 (2.36) 1.78 (1.61) 42.08 -1.31 -0.45 5.21 [4.38, 6.05] 26.51
Psi-Q Taste 6.88 (2.37) 2.14 (2.15) 31.43 -0.89 -0.42 4.66 [3.76, 5.59] 17.89
Psi-Q Touch 8.36 (1.84) 2.64 (2.51) 43.99 0.48 1.37 5.62 [4.73, 6.47] 30.68
Psi-Q Sensations 7.93 (1.9) 2.99 (2.67) 33.35 0.65 1.51 4.82 [3.93, 5.73] 19.56
Psi-Q Feelings 7.8 (2.11) 3.5 (2.97) 23.47 1.99 2.64 4.16 [3.17, 5.14] 14.29
Raven matrices 12.67 (3.23) 13.93 (2.27) 0.24 -1.44 -1.34 -1.22 [-2.35, -0.03] -1.30
SRI 21.18 (4.86) 22.58 (3.8) -0.81 -1.80 -2.24 -1.45 [-3.3, 0.28] -2.20
Digit span 4.07 (0.98) 4.2 (1.19) -1.73 -1.68 -2.88 -0.14 [-0.59, 0.31] -3.28
Spatial span 3.1 (1.25) 3.53 (0.76) 0.17 -0.13 -0.88 -0.47 [-0.91, -0.07] -1.01
Similarities test 23 (5.22) 24.31 (4.38) -1.08 -1.45 -1.89 -1.25 [-3.18, 0.71] -2.68
WCST 62.8 (15.46) 64.93 (13.63) -1.39 -1.47 -1.11 -2.18 [-8.04, 3.73] -3.22
Reading
comprehension 16.9 (6.8) 19.11 (5.15) -0.45 -1.56 -1.38 -2.20 [-4.67, 0.26] -1.94

The filter_study_variables() function is a convenience function to filter a set of variables from our study. Here the table contains only the original raw scores, leaving out the transformed variables created later in the analyses.

Two functions are provided to visualise the data, plot_score_violins() (used in the paper for the groups) and plot_score_radars() (used later in the paper for the clusters). The latter requires a Cluster column (I know, not a great design), so we’ll use it later. plot_score_violins() uses the see package to plot half-violins, while plot_score_radars() uses the superb package to plot radar charts. The scale_vars() function is used to rescale variables between 0 and 1 to plot them easily on the same scale.

study_data |> 
  scale_vars() |> 
  get_longer() |>
  filter_study_variables("original") |> 
  plot_score_violins()

Violin plots of the original score variables by VVIQ group.

Cluster analysis

Faced with the lack of explanatory power of the VVIQ groups on many variables, we set out to explore the structure of the data using clustering analysis. This first required to study the relationships between the variables and select the most relevant to describe the sample.

Correlations

We used partial correlations to identify the strongest links between variables for variable reduction while reducing the bias from potential spurious correlations. The correlate_vars() function wraps the function from the correlation package to compute these correlations and conveniently renames the variables in the resulting object. Two plotting functions are provided to visualise the results, plot_score_cor_matrix() and plot_score_cor_graph(). The two are wrapped in plot_score_cor_joint() to produce a joint plot of the correlation matrix and the graph visualisation of the correlations with a specific overlapped layout using the patchwork package.

study_data |> correlate_vars(partial = TRUE) |> plot_score_cor_joint()

Joint plot of the correlation matrix and graph of the partial correlations between the study variables.

As represented by the coloured nodes, the partial correlations allowed to identify related variables that could be relevant to merge and keep for the clustering analysis. The clustering process was conducted on the seven following variables: Visual imagery (VVIQ + OSIVQ-O + Psi-Q V), Sensory imagery (Psi-Q Sm+Ta+To+Se+Fe), Spatial imagery (OSIVQ-S + SRI), Verbal strategies (OSIVQ-V), Raven + Digit span, Verbal reasoning (Similarity) and Spatial span.

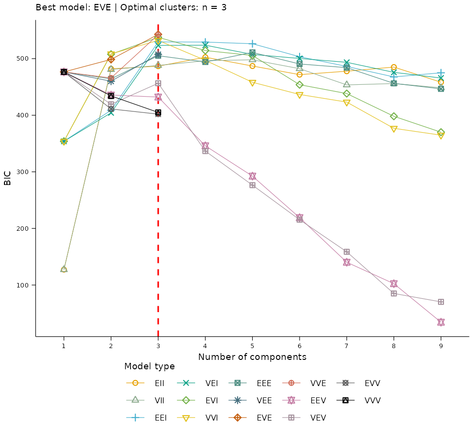
Number of clusters

We chose to use a model-based method for clustering (Gaussian Mixture Modelling) with the mclust package. The cluster_selected_vars() function computes the clustering on the variables described above. Internally, it calls the scale_reduce_vars() function, which creates all the reduced composite variables identified with the partial correlations above and rescales them between 0 and 1.

The optimal model and number of clusters was determined using the Bayesian Information Criterion (BIC) implemented in the mclust package. The plot_clusters_bic uses factoextra to represent the results of this model comparison visually.

Plot of the BIC values for different clustering models and numbers of clusters.

Clustering results

The merge_clusters() function allows to merge the original data, the reduced variables and the cluster results easily.

df_merged <- merge_clusters(
  df_raw     = study_data,
  df_red     = scale_reduce_vars(study_data),
  clustering = cluster_selected_vars(study_data)
)
colnames(df_merged)
#>  [1] "id"                  "group"               "cluster"            
#>  [4] "subcluster"          "age"                 "sex"                
#>  [7] "education"           "field"               "field_code"         
#> [10] "occupation"          "occupation_code"     "vviq"               
#> [13] "osivq_o"             "osivq_s"             "osivq_v"            
#> [16] "psiq_vis"            "psiq_aud"            "psiq_od"            
#> [19] "psiq_gout"           "psiq_tou"            "psiq_sens"          
#> [22] "psiq_feel"           "score_raven"         "score_sri"          
#> [25] "span_spatial"        "span_digit"          "wcst_accuracy"      
#> [28] "score_similarities"  "score_comprehension" "visual_imagery"     
#> [31] "auditory_imagery"    "sensory_imagery"     "spatial_imagery"    
#> [34] "verbal_strategies"   "fluid_intelligence"  "verbal_reasoning"   
#> [37] "spatial_span"

df_merged |> 
  dplyr::reframe(
    .by = c(group, cluster),
    n       = dplyr::n(),
    vviq    = mean(vviq),
    object  = mean(osivq_o),
    spatial = mean(osivq_s),
    verbal  = mean(osivq_v)
  ) |> 
  dplyr::arrange(cluster)
#> # A tibble: 4 × 7
#>   group      cluster         n  vviq object spatial verbal
#>   <fct>      <fct>       <int> <dbl>  <dbl>   <dbl>  <dbl>
#> 1 Aphantasic A (Aphant.)    32  18.1   23.9    37.6   52.8
#> 2 Control    B (Mixed)      17  49.9   48.8    50.7   41.6
#> 3 Aphantasic B (Mixed)      13  19     26.4    43.3   41.1
#> 4 Control    C (Control)    34  62.2   56.7    40.0   44

There are two clusters containing only aphantasic (cluster A) or control (cluster C) participants, while another cluster (cluster B) is mixed. By dividing the latter into two “sub-clusters”, we created a new subcluster variable to analyse. The radar charts are a convenient way to visualise the scores of the clusters and sub-clusters on the reduced variables:

# Attaching superb is necessary to avoid bugs with the 1.0
library(superb)

df_merged_long_reduced <- 
  df_merged |> 
  scale_vars() |> 
  get_longer() |> 
  filter_study_variables("reduced")

plot_score_radars(df_merged_long_reduced, Cluster, r_off = 6, l_off = 6) + 
  plot_score_radars(df_merged_long_reduced, Subcluster, r_off = 6, l_off = 6)

Radar charts of the clusters (left) and subclusters (right) on the reduced variables.

We computed the Bayes Factors for association of the clusters and subclusters with the demographic variables:

df_asso_clusters <- get_association_models(df_merged, cluster)
df_asso_subclusters <- get_association_models(df_merged, subcluster)

df_asso_clusters |> dplyr::select(Variable, log_bf10)
#> # A tibble: 3 × 2
#> # Rowwise:  Variable
#>   Variable   log_bf10
#>   <chr>         <dbl>
#> 1 Education     -7.44
#> 2 Field         -6.06
#> 3 Occupation    -3.88
df_asso_subclusters |> dplyr::select(Variable, log_bf10)
#> # A tibble: 3 × 2
#> # Rowwise:  Variable
#>   Variable   log_bf10
#>   <chr>         <dbl>
#> 1 Education     -9.84
#> 2 Field         -7.7 
#> 3 Occupation    -7.06

df_asso_clusters |> format_association_table("Education")
#> # A tibble: 6 × 4
#>   Education       `A (Aphant.)` `B (Mixed)` `C (Control)`
#>   <fct>                   <int>       <int>         <int>
#> 1 Other                       3           2             4
#> 2 Post-secondary              3           5             6
#> 3 Bachelor                   10          12            12
#> 4 Master                     13          10            10
#> 5 Doctorate                   3           0             2
#> 6 Upper secondary             0           1             0
df_asso_clusters |> format_association_table("Field")
#> # A tibble: 11 × 4
#>    Field                                 `A (Aphant.)` `B (Mixed)` `C (Control)`
#>    <fct>                                         <int>       <int>         <int>
#>  1 Generic programmes                                2           5             1
#>  2 Education                                         1           0             1
#>  3 Arts, humanities                                  9           6             6
#>  4 Social sciences, journalism, informa…             4           2             9
#>  5 Business, Administration, Law                     6           4             8
#>  6 Natural sciences, mathematics, stati…             3           5             2
#>  7 Information, communication technolog…             2           3             3
#>  8 Engineering, manufacturing, construc…             1           3             2
#>  9 Agriculture, forestry, fisheries, ve…             1           0             1
#> 10 Health and Welfare                                3           1             1
#> 11 Services                                          0           1             0
df_asso_clusters |> format_association_table("Occupation")
#> # A tibble: 9 × 4
#>   Occupation                  `A (Aphant.)` `B (Mixed)` `C (Control)`
#>   <fct>                               <int>       <int>         <int>
#> 1 Unemployed                              1           0             1
#> 2 Student                                 9           9            14
#> 3 Science and Engineering                 3           1             2
#> 4 Health                                  6           0             2
#> 5 Teaching                                2           3             2
#> 6 Business, Administration                8           5             6
#> 7 Information, Communications             2           9             3
#> 8 Social, Cultural, Legal                 1           2             3
#> 9 No answer                               0           1             1

df_asso_subclusters |> format_association_table("Education")
#> # A tibble: 6 × 5
#>   Education       `A (Aphant.)` `B-Aphant.` `B-Control` `C (Control)`
#>   <fct>                   <int>       <int>       <int>         <int>
#> 1 Other                       3           1           1             4
#> 2 Post-secondary              3           2           3             6
#> 3 Bachelor                   10           7           5            12
#> 4 Master                     13           3           7            10
#> 5 Doctorate                   3           0           0             2
#> 6 Upper secondary             0           0           1             0
df_asso_subclusters |> format_association_table("Field")
#> # A tibble: 11 × 5
#>    Field                     `A (Aphant.)` `B-Aphant.` `B-Control` `C (Control)`
#>    <fct>                             <int>       <int>       <int>         <int>
#>  1 Generic programmes                    2           2           3             1
#>  2 Education                             1           0           0             1
#>  3 Arts, humanities                      9           3           3             6
#>  4 Social sciences, journal…             4           0           2             9
#>  5 Business, Administration…             6           2           2             8
#>  6 Natural sciences, mathem…             3           1           4             2
#>  7 Information, communicati…             2           2           1             3
#>  8 Engineering, manufacturi…             1           2           1             2
#>  9 Agriculture, forestry, f…             1           0           0             1
#> 10 Health and Welfare                    3           0           1             1
#> 11 Services                              0           1           0             0
df_asso_subclusters |> format_association_table("Occupation")
#> # A tibble: 9 × 5
#>   Occupation                 `A (Aphant.)` `B-Aphant.` `B-Control` `C (Control)`
#>   <fct>                              <int>       <int>       <int>         <int>
#> 1 Unemployed                             1           0           0             1
#> 2 Student                                9           3           6            14
#> 3 Science and Engineering                3           1           0             2
#> 4 Health                                 6           0           0             2
#> 5 Teaching                               2           1           2             2
#> 6 Business, Administration               8           2           3             6
#> 7 Information, Communicatio…             2           4           5             3
#> 8 Social, Cultural, Legal                1           1           1             3
#> 9 No answer                              0           1           0             1

Just like the group models, the code to model all the score variables with the clusters and sub-clusters is straightforward:

df_merged_long <- 
  df_merged |> 
  scale_vars() |> 
  get_longer()

cluster_models    <- get_full_model_table(df_merged_long, Cluster)
subcluster_models <- get_full_model_table(df_merged_long, Subcluster)

… And likewise, it takes a while to run, so models have been pre-computed and the results stored in the models_list object.

Here are the Bayes Factors for inclusion of the predictors in the models for each variable, for the clusters and subclusters:

models_list$cluster_models |> 
  dplyr::select(1:7) |> 
  dplyr::distinct() |> 
  knitr::kable()
Variable A (Aphant.) B (Mixed) C (Control) Cluster Age Cluster ×\times Age
VVIQ 0.03 (0.06) 0.32 (0.27) 0.72 (0.14) 54.87 -1.10 -0.96
OSIVQ-Object 0.15 (0.11) 0.4 (0.24) 0.69 (0.14) 42.77 -0.54 0.70
OSIVQ-Spatial 0.38 (0.14) 0.54 (0.14) 0.42 (0.14) 6.33 -1.64 -1.55
OSIVQ-Verbal 0.63 (0.17) 0.44 (0.12) 0.48 (0.13) 8.65 -0.98 -1.79
Psi-Q Vision 0.07 (0.12) 0.47 (0.34) 0.86 (0.14) 49.38 -1.63 -1.80
Psi-Q Audition 0.12 (0.2) 0.59 (0.34) 0.82 (0.17) 35.90 -1.74 -2.12
Psi-Q Smell 0.03 (0.09) 0.44 (0.34) 0.7 (0.23) 34.48 -1.21 -0.58
Psi-Q Taste 0.05 (0.11) 0.46 (0.35) 0.69 (0.23) 31.27 -1.73 -2.21
Psi-Q Touch 0.1 (0.16) 0.57 (0.37) 0.87 (0.14) 41.76 -1.57 -1.90
Psi-Q Sensations 0.13 (0.2) 0.58 (0.33) 0.81 (0.18) 35.58 -1.41 -1.96
Psi-Q Feelings 0.18 (0.24) 0.59 (0.35) 0.81 (0.18) 27.35 -0.65 -0.83
Raven matrices 0.38 (0.06) 0.39 (0.06) 0.34 (0.1) 1.03 -1.66 -2.01
SRI 0.72 (0.12) 0.84 (0.09) 0.63 (0.15) 14.06 -1.40 -2.05
Digit span 0.54 (0.17) 0.59 (0.11) 0.56 (0.15) -1.87 -1.71 -3.35
Spatial span 0.57 (0.12) 0.65 (0.12) 0.48 (0.23) 4.45 0.83 -1.22
Similarities test 0.65 (0.12) 0.73 (0.09) 0.6 (0.15) 4.14 -1.65 -2.29
Visual imagery 0.09 (0.07) 0.37 (0.25) 0.72 (0.11) 56.54 -1.09 -0.45
Auditory imagery 0.12 (0.2) 0.59 (0.34) 0.82 (0.17) 35.89 -1.77 -2.09
Sensory imagery 0.1 (0.13) 0.53 (0.31) 0.78 (0.15) 42.83 -1.61 -1.97
Spatial imagery 0.61 (0.11) 0.74 (0.09) 0.56 (0.12) 14.27 -1.60 -2.01
Verbal strategies 0.63 (0.17) 0.44 (0.12) 0.48 (0.13) 8.64 -0.98 -1.77
Raven +
Digit Span 0.46 (0.1) 0.49 (0.07) 0.45 (0.12) -1.56 -1.88 -3.42
Verbal reasoning 0.65 (0.12) 0.73 (0.09) 0.6 (0.15) 4.14 -1.67 -2.30
Spatial span std. 0.57 (0.12) 0.65 (0.12) 0.48 (0.23) 4.44 0.82 -1.24
WCST 0.65 (0.13) 0.66 (0.14) 0.6 (0.16) -0.98 -1.35 -0.83
Reading
comprehension 0.6 (0.16) 0.63 (0.2) 0.52 (0.23) -0.69 -1.78 -2.90
models_list$subcluster_models |> 
  dplyr::select(1:7) |> 
  dplyr::distinct() |> 
  knitr::kable()
Variable A (Aphant.) B-Aphant. B-Control C (Control) Subcluster Age
VVIQ 0.03 (0.06) 0.05 (0.07) 0.53 (0.16) 0.72 (0.14) 92.66 -1.60
OSIVQ-Object 0.15 (0.11) 0.19 (0.12) 0.56 (0.17) 0.69 (0.14) 62.05 -1.25
OSIVQ-Spatial 0.38 (0.14) 0.47 (0.15) 0.6 (0.11) 0.42 (0.14) 7.67 -1.66
OSIVQ-Verbal 0.63 (0.17) 0.43 (0.14) 0.44 (0.11) 0.48 (0.13) 7.55 -1.01
Psi-Q Vision 0.07 (0.12) 0.13 (0.16) 0.72 (0.18) 0.86 (0.14) 86.44 -1.86
Psi-Q Audition 0.12 (0.2) 0.43 (0.41) 0.71 (0.22) 0.82 (0.17) 39.59 -0.38
Psi-Q Smell 0.03 (0.09) 0.22 (0.26) 0.6 (0.31) 0.7 (0.23) 44.07 1.57
Psi-Q Taste 0.05 (0.11) 0.32 (0.35) 0.58 (0.31) 0.69 (0.23) 34.40 -0.32
Psi-Q Touch 0.1 (0.16) 0.38 (0.4) 0.71 (0.27) 0.87 (0.14) 48.33 0.21
Psi-Q Sensations 0.13 (0.2) 0.44 (0.38) 0.68 (0.25) 0.81 (0.18) 39.69 1.97
Psi-Q Feelings 0.18 (0.24) 0.52 (0.41) 0.65 (0.3) 0.81 (0.18) 28.03 1.09
Raven matrices 0.38 (0.06) 0.4 (0.07) 0.38 (0.06) 0.34 (0.1) 0.42 -1.72
SRI 0.72 (0.12) 0.83 (0.12) 0.85 (0.05) 0.63 (0.15) 12.73 -1.27
Digit span 0.54 (0.17) 0.66 (0.1) 0.54 (0.09) 0.56 (0.15) -0.78 -1.70
Spatial span 0.57 (0.12) 0.68 (0.13) 0.63 (0.11) 0.48 (0.23) 3.55 0.62
Similarities test 0.65 (0.12) 0.74 (0.09) 0.72 (0.08) 0.6 (0.15) 3.13 -1.68
Visual imagery 0.09 (0.07) 0.12 (0.09) 0.56 (0.13) 0.72 (0.11) 97.96 -1.71
Auditory imagery 0.12 (0.2) 0.43 (0.41) 0.71 (0.22) 0.82 (0.17) 39.57 -0.42
Sensory imagery 0.1 (0.13) 0.38 (0.33) 0.64 (0.26) 0.78 (0.15) 49.76 2.19
Spatial imagery 0.61 (0.11) 0.71 (0.11) 0.77 (0.06) 0.56 (0.12) 13.70 -1.33
Verbal strategies 0.63 (0.17) 0.43 (0.14) 0.44 (0.11) 0.48 (0.13) 7.56 -0.98
Raven +
Digit Span 0.46 (0.1) 0.53 (0.07) 0.46 (0.06) 0.45 (0.12) -1.07 -1.88
Verbal reasoning 0.65 (0.12) 0.74 (0.09) 0.72 (0.08) 0.6 (0.15) 3.14 -1.68
Spatial span std. 0.57 (0.12) 0.68 (0.13) 0.63 (0.11) 0.48 (0.23) 3.56 0.64
WCST 0.65 (0.13) 0.64 (0.16) 0.68 (0.13) 0.6 (0.16) -1.46 -1.61
Reading
comprehension 0.6 (0.16) 0.67 (0.18) 0.6 (0.2) 0.52 (0.23) -0.99 -1.80

Finally, we can get the pairwise comparisons between the clusters and between the subclusters, with the Bayes Factors for the contrasts:

models_list$cluster_models |> 
  dplyr::select(1, 8:11) |> 
  knitr::kable()
Variable Comparison Difference (Δ\Delta) 95% CrI log(BF10)log(BF_{10})
VVIQ A (Aphant.) - B (Mixed) -0.28 [-0.37, -0.19] 9.23
VVIQ A (Aphant.) - C (Control) -0.69 [-0.78, -0.6] 37.40
VVIQ B (Mixed) - C (Control) -0.41 [-0.5, -0.32] 18.89
OSIVQ-Object A (Aphant.) - B (Mixed) -0.25 [-0.34, -0.17] 9.23
OSIVQ-Object A (Aphant.) - C (Control) -0.54 [-0.62, -0.46] 34.91
OSIVQ-Object B (Mixed) - C (Control) -0.29 [-0.37, -0.2] 10.56
OSIVQ-Spatial A (Aphant.) - B (Mixed) -0.16 [-0.23, -0.09] 5.14
OSIVQ-Spatial A (Aphant.) - C (Control) -0.04 [-0.11, 0.03] -2.84
OSIVQ-Spatial B (Mixed) - C (Control) 0.12 [0.05, 0.19] 1.83
OSIVQ-Verbal A (Aphant.) - B (Mixed) 0.19 [0.12, 0.27] 6.86
OSIVQ-Verbal A (Aphant.) - C (Control) 0.16 [0.08, 0.23] 4.31
OSIVQ-Verbal B (Mixed) - C (Control) -0.04 [-0.11, 0.03] -3.19
Psi-Q Vision A (Aphant.) - B (Mixed) -0.39 [-0.51, -0.28] 11.92
Psi-Q Vision A (Aphant.) - C (Control) -0.79 [-0.9, -0.68] 25.63
Psi-Q Vision B (Mixed) - C (Control) -0.39 [-0.5, -0.28] 10.51
Psi-Q Audition A (Aphant.) - B (Mixed) -0.46 [-0.59, -0.33] 11.37
Psi-Q Audition A (Aphant.) - C (Control) -0.70 [-0.82, -0.57] 21.61
Psi-Q Audition B (Mixed) - C (Control) -0.24 [-0.37, -0.12] 2.33
Psi-Q Smell A (Aphant.) - B (Mixed) -0.40 [-0.52, -0.27] 9.31
Psi-Q Smell A (Aphant.) - C (Control) -0.66 [-0.79, -0.54] 20.53
Psi-Q Smell B (Mixed) - C (Control) -0.26 [-0.38, -0.14] 3.85
Psi-Q Taste A (Aphant.) - B (Mixed) -0.41 [-0.54, -0.28] 10.45
Psi-Q Taste A (Aphant.) - C (Control) -0.63 [-0.75, -0.5] 20.61
Psi-Q Taste B (Mixed) - C (Control) -0.22 [-0.35, -0.1] 1.56
Psi-Q Touch A (Aphant.) - B (Mixed) -0.46 [-0.58, -0.33] 10.31
Psi-Q Touch A (Aphant.) - C (Control) -0.76 [-0.88, -0.64] 23.98
Psi-Q Touch B (Mixed) - C (Control) -0.30 [-0.43, -0.18] 5.70
Psi-Q Sensations A (Aphant.) - B (Mixed) -0.44 [-0.56, -0.31] 12.45
Psi-Q Sensations A (Aphant.) - C (Control) -0.67 [-0.79, -0.54] 22.82
Psi-Q Sensations B (Mixed) - C (Control) -0.23 [-0.35, -0.11] 1.66
Psi-Q Feelings A (Aphant.) - B (Mixed) -0.39 [-0.53, -0.26] 7.54
Psi-Q Feelings A (Aphant.) - C (Control) -0.61 [-0.74, -0.48] 15.28
Psi-Q Feelings B (Mixed) - C (Control) -0.22 [-0.35, -0.09] 1.27
Raven matrices A (Aphant.) - B (Mixed) -0.01 [-0.05, 0.03] -3.14
Raven matrices A (Aphant.) - C (Control) 0.05 [0.01, 0.08] -0.58
Raven matrices B (Mixed) - C (Control) 0.06 [0.02, 0.09] 0.37
SRI A (Aphant.) - B (Mixed) -0.12 [-0.18, -0.05] 2.31
SRI A (Aphant.) - C (Control) 0.10 [0.03, 0.16] 1.07
SRI B (Mixed) - C (Control) 0.21 [0.15, 0.27] 10.69
Digit span A (Aphant.) - B (Mixed) -0.06 [-0.13, 0.02] -2.13
Digit span A (Aphant.) - C (Control) -0.03 [-0.1, 0.04] -2.97
Digit span B (Mixed) - C (Control) 0.03 [-0.05, 0.1] -3.32
Spatial span A (Aphant.) - B (Mixed) -0.07 [-0.16, 0.01] -1.91
Spatial span A (Aphant.) - C (Control) 0.11 [0.03, 0.2] 0.16
Spatial span B (Mixed) - C (Control) 0.18 [0.1, 0.27] 4.23
Similarities test A (Aphant.) - B (Mixed) -0.08 [-0.15, -0.02] -0.29
Similarities test A (Aphant.) - C (Control) 0.05 [-0.02, 0.11] -2.26
Similarities test B (Mixed) - C (Control) 0.13 [0.06, 0.19] 3.33
Visual imagery A (Aphant.) - B (Mixed) -0.28 [-0.36, -0.2] 10.63
Visual imagery A (Aphant.) - C (Control) -0.63 [-0.71, -0.55] 29.07
Visual imagery B (Mixed) - C (Control) -0.35 [-0.43, -0.27] 14.36
Auditory imagery A (Aphant.) - B (Mixed) -0.46 [-0.59, -0.33] 11.37
Auditory imagery A (Aphant.) - C (Control) -0.70 [-0.82, -0.57] 21.61
Auditory imagery B (Mixed) - C (Control) -0.24 [-0.37, -0.12] 2.33
Sensory imagery A (Aphant.) - B (Mixed) -0.42 [-0.53, -0.31] 13.59
Sensory imagery A (Aphant.) - C (Control) -0.67 [-0.77, -0.56] 27.02
Sensory imagery B (Mixed) - C (Control) -0.25 [-0.36, -0.14] 3.99
Spatial imagery A (Aphant.) - B (Mixed) -0.13 [-0.19, -0.08] 5.52
Spatial imagery A (Aphant.) - C (Control) 0.05 [0, 0.11] -1.74
Spatial imagery B (Mixed) - C (Control) 0.18 [0.13, 0.24] 13.55
Verbal strategies A (Aphant.) - B (Mixed) 0.19 [0.12, 0.27] 6.86
Verbal strategies A (Aphant.) - C (Control) 0.16 [0.08, 0.23] 4.31
Verbal strategies B (Mixed) - C (Control) -0.04 [-0.11, 0.03] -3.19
Raven +
Digit Span A (Aphant.) - B (Mixed) -0.03 [-0.09, 0.02] -2.38
Raven +
Digit Span A (Aphant.) - C (Control) 0.01 [-0.04, 0.06] -3.19
Raven +
Digit Span B (Mixed) - C (Control) 0.04 [-0.01, 0.09] -2.20
Verbal reasoning A (Aphant.) - B (Mixed) -0.08 [-0.15, -0.02] -0.29
Verbal reasoning A (Aphant.) - C (Control) 0.05 [-0.02, 0.11] -2.26
Verbal reasoning B (Mixed) - C (Control) 0.13 [0.06, 0.19] 3.33
Spatial span std. A (Aphant.) - B (Mixed) -0.07 [-0.16, 0.01] -1.91
Spatial span std. A (Aphant.) - C (Control) 0.11 [0.03, 0.2] 0.16
Spatial span std. B (Mixed) - C (Control) 0.18 [0.1, 0.27] 4.23
WCST A (Aphant.) - B (Mixed) -0.02 [-0.09, 0.05] -3.15
WCST A (Aphant.) - C (Control) 0.06 [-0.01, 0.13] -1.87
WCST B (Mixed) - C (Control) 0.08 [0.01, 0.15] -1.26
Reading
comprehension A (Aphant.) - B (Mixed) -0.03 [-0.13, 0.07] -3.11
Reading
comprehension A (Aphant.) - C (Control) 0.07 [-0.03, 0.17] -2.24
Reading
comprehension B (Mixed) - C (Control) 0.10 [0, 0.2] -1.55
models_list$subcluster_models |> 
  dplyr::select(1, 8:11) |> 
  knitr::kable()
Variable Subcluster ×\times Age Comparison Difference (Δ\Delta) 95% CrI
VVIQ -2.39 A (Aphant.) - (B-Aphant.) -0.01 [-0.09, 0.06]
VVIQ -2.39 A (Aphant.) - (B-Control) -0.49 [-0.56, -0.42]
VVIQ -2.39 A (Aphant.) - C (Control) -0.69 [-0.75, -0.63]
VVIQ -2.39 (B-Aphant.) - (B-Control) -0.48 [-0.57, -0.39]
VVIQ -2.39 (B-Aphant.) - C (Control) -0.68 [-0.75, -0.6]
VVIQ -2.39 (B-Control) - C (Control) -0.20 [-0.27, -0.13]
OSIVQ-Object -0.44 A (Aphant.) - (B-Aphant.) -0.05 [-0.14, 0.04]
OSIVQ-Object -0.44 A (Aphant.) - (B-Control) -0.41 [-0.49, -0.33]
OSIVQ-Object -0.44 A (Aphant.) - C (Control) -0.54 [-0.6, -0.47]
OSIVQ-Object -0.44 (B-Aphant.) - (B-Control) -0.36 [-0.46, -0.26]
OSIVQ-Object -0.44 (B-Aphant.) - C (Control) -0.49 [-0.58, -0.41]
OSIVQ-Object -0.44 (B-Control) - C (Control) -0.13 [-0.21, -0.05]
OSIVQ-Spatial -1.50 A (Aphant.) - (B-Aphant.) -0.11 [-0.2, -0.02]
OSIVQ-Spatial -1.50 A (Aphant.) - (B-Control) -0.22 [-0.3, -0.14]
OSIVQ-Spatial -1.50 A (Aphant.) - C (Control) -0.04 [-0.1, 0.03]
OSIVQ-Spatial -1.50 (B-Aphant.) - (B-Control) -0.11 [-0.21, -0.01]
OSIVQ-Spatial -1.50 (B-Aphant.) - C (Control) 0.07 [-0.02, 0.16]
OSIVQ-Spatial -1.50 (B-Control) - C (Control) 0.18 [0.1, 0.26]
OSIVQ-Verbal -2.11 A (Aphant.) - (B-Aphant.) 0.21 [0.11, 0.3]
OSIVQ-Verbal -2.11 A (Aphant.) - (B-Control) 0.19 [0.11, 0.28]
OSIVQ-Verbal -2.11 A (Aphant.) - C (Control) 0.16 [0.08, 0.23]
OSIVQ-Verbal -2.11 (B-Aphant.) - (B-Control) -0.02 [-0.13, 0.09]
OSIVQ-Verbal -2.11 (B-Aphant.) - C (Control) -0.05 [-0.15, 0.04]
OSIVQ-Verbal -2.11 (B-Control) - C (Control) -0.04 [-0.12, 0.05]
Psi-Q Vision -3.10 A (Aphant.) - (B-Aphant.) -0.06 [-0.15, 0.04]
Psi-Q Vision -3.10 A (Aphant.) - (B-Control) -0.65 [-0.75, -0.57]
Psi-Q Vision -3.10 A (Aphant.) - C (Control) -0.79 [-0.86, -0.72]
Psi-Q Vision -3.10 (B-Aphant.) - (B-Control) -0.60 [-0.7, -0.49]
Psi-Q Vision -3.10 (B-Aphant.) - C (Control) -0.73 [-0.83, -0.63]
Psi-Q Vision -3.10 (B-Control) - C (Control) -0.14 [-0.22, -0.05]
Psi-Q Audition 0.90 A (Aphant.) - (B-Aphant.) -0.26 [-0.42, -0.11]
Psi-Q Audition 0.90 A (Aphant.) - (B-Control) -0.57 [-0.71, -0.43]
Psi-Q Audition 0.90 A (Aphant.) - C (Control) -0.70 [-0.81, -0.58]
Psi-Q Audition 0.90 (B-Aphant.) - (B-Control) -0.31 [-0.48, -0.14]
Psi-Q Audition 0.90 (B-Aphant.) - C (Control) -0.44 [-0.59, -0.29]
Psi-Q Audition 0.90 (B-Control) - C (Control) -0.13 [-0.26, 0.01]
Psi-Q Smell 3.12 A (Aphant.) - (B-Aphant.) -0.16 [-0.3, -0.03]
Psi-Q Smell 3.12 A (Aphant.) - (B-Control) -0.54 [-0.66, -0.42]
Psi-Q Smell 3.12 A (Aphant.) - C (Control) -0.66 [-0.76, -0.56]
Psi-Q Smell 3.12 (B-Aphant.) - (B-Control) -0.38 [-0.53, -0.23]
Psi-Q Smell 3.12 (B-Aphant.) - C (Control) -0.50 [-0.63, -0.36]
Psi-Q Smell 3.12 (B-Control) - C (Control) -0.12 [-0.25, 0]
Psi-Q Taste 0.96 A (Aphant.) - (B-Aphant.) -0.23 [-0.38, -0.08]
Psi-Q Taste 0.96 A (Aphant.) - (B-Control) -0.51 [-0.65, -0.37]
Psi-Q Taste 0.96 A (Aphant.) - C (Control) -0.63 [-0.75, -0.52]
Psi-Q Taste 0.96 (B-Aphant.) - (B-Control) -0.28 [-0.45, -0.11]
Psi-Q Taste 0.96 (B-Aphant.) - C (Control) -0.40 [-0.55, -0.26]
Psi-Q Taste 0.96 (B-Control) - C (Control) -0.12 [-0.26, 0.02]
Psi-Q Touch 1.46 A (Aphant.) - (B-Aphant.) -0.23 [-0.38, -0.09]
Psi-Q Touch 1.46 A (Aphant.) - (B-Control) -0.60 [-0.72, -0.46]
Psi-Q Touch 1.46 A (Aphant.) - C (Control) -0.76 [-0.87, -0.65]
Psi-Q Touch 1.46 (B-Aphant.) - (B-Control) -0.36 [-0.53, -0.21]
Psi-Q Touch 1.46 (B-Aphant.) - C (Control) -0.53 [-0.67, -0.38]
Psi-Q Touch 1.46 (B-Control) - C (Control) -0.16 [-0.3, -0.04]
Psi-Q Sensations 3.37 A (Aphant.) - (B-Aphant.) -0.26 [-0.4, -0.11]
Psi-Q Sensations 3.37 A (Aphant.) - (B-Control) -0.53 [-0.66, -0.4]
Psi-Q Sensations 3.37 A (Aphant.) - C (Control) -0.67 [-0.78, -0.56]
Psi-Q Sensations 3.37 (B-Aphant.) - (B-Control) -0.27 [-0.43, -0.11]
Psi-Q Sensations 3.37 (B-Aphant.) - C (Control) -0.41 [-0.55, -0.27]
Psi-Q Sensations 3.37 (B-Control) - C (Control) -0.14 [-0.27, 0]
Psi-Q Feelings 2.14 A (Aphant.) - (B-Aphant.) -0.28 [-0.44, -0.11]
Psi-Q Feelings 2.14 A (Aphant.) - (B-Control) -0.44 [-0.59, -0.29]
Psi-Q Feelings 2.14 A (Aphant.) - C (Control) -0.61 [-0.74, -0.49]
Psi-Q Feelings 2.14 (B-Aphant.) - (B-Control) -0.17 [-0.35, 0.02]
Psi-Q Feelings 2.14 (B-Aphant.) - C (Control) -0.34 [-0.5, -0.17]
Psi-Q Feelings 2.14 (B-Control) - C (Control) -0.17 [-0.32, -0.03]
Raven matrices -2.83 A (Aphant.) - (B-Aphant.) -0.02 [-0.07, 0.03]
Raven matrices -2.83 A (Aphant.) - (B-Control) -0.01 [-0.05, 0.04]
Raven matrices -2.83 A (Aphant.) - C (Control) 0.05 [0.01, 0.08]
Raven matrices -2.83 (B-Aphant.) - (B-Control) 0.02 [-0.04, 0.07]
Raven matrices -2.83 (B-Aphant.) - C (Control) 0.07 [0.02, 0.12]
Raven matrices -2.83 (B-Control) - C (Control) 0.05 [0.01, 0.1]
SRI -1.40 A (Aphant.) - (B-Aphant.) -0.11 [-0.19, -0.03]
SRI -1.40 A (Aphant.) - (B-Control) -0.13 [-0.21, -0.06]
SRI -1.40 A (Aphant.) - C (Control) 0.10 [0.04, 0.16]
SRI -1.40 (B-Aphant.) - (B-Control) -0.02 [-0.11, 0.07]
SRI -1.40 (B-Aphant.) - C (Control) 0.21 [0.12, 0.29]
SRI -1.40 (B-Control) - C (Control) 0.23 [0.15, 0.3]
Digit span -2.83 A (Aphant.) - (B-Aphant.) -0.13 [-0.22, -0.03]
Digit span -2.83 A (Aphant.) - (B-Control) -0.01 [-0.1, 0.07]
Digit span -2.83 A (Aphant.) - C (Control) -0.03 [-0.1, 0.04]
Digit span -2.83 (B-Aphant.) - (B-Control) 0.12 [0.01, 0.22]
Digit span -2.83 (B-Aphant.) - C (Control) 0.10 [0, 0.19]
Digit span -2.83 (B-Control) - C (Control) -0.02 [-0.1, 0.07]
Spatial span -2.15 A (Aphant.) - (B-Aphant.) -0.10 [-0.21, 0.01]
Spatial span -2.15 A (Aphant.) - (B-Control) -0.06 [-0.16, 0.04]
Spatial span -2.15 A (Aphant.) - C (Control) 0.11 [0.03, 0.2]
Spatial span -2.15 (B-Aphant.) - (B-Control) 0.04 [-0.09, 0.16]
Spatial span -2.15 (B-Aphant.) - C (Control) 0.21 [0.1, 0.32]
Spatial span -2.15 (B-Control) - C (Control) 0.17 [0.07, 0.27]
Similarities test -2.84 A (Aphant.) - (B-Aphant.) -0.09 [-0.18, -0.01]
Similarities test -2.84 A (Aphant.) - (B-Control) -0.07 [-0.15, 0.01]
Similarities test -2.84 A (Aphant.) - C (Control) 0.05 [-0.02, 0.11]
Similarities test -2.84 (B-Aphant.) - (B-Control) 0.02 [-0.07, 0.12]
Similarities test -2.84 (B-Aphant.) - C (Control) 0.14 [0.06, 0.23]
Similarities test -2.84 (B-Control) - C (Control) 0.12 [0.04, 0.19]
Visual imagery -1.94 A (Aphant.) - (B-Aphant.) -0.03 [-0.1, 0.03]
Visual imagery -1.94 A (Aphant.) - (B-Control) -0.47 [-0.53, -0.41]
Visual imagery -1.94 A (Aphant.) - C (Control) -0.63 [-0.68, -0.58]
Visual imagery -1.94 (B-Aphant.) - (B-Control) -0.44 [-0.51, -0.36]
Visual imagery -1.94 (B-Aphant.) - C (Control) -0.60 [-0.67, -0.54]
Visual imagery -1.94 (B-Control) - C (Control) -0.16 [-0.22, -0.1]
Auditory imagery 0.83 A (Aphant.) - (B-Aphant.) -0.26 [-0.42, -0.11]
Auditory imagery 0.83 A (Aphant.) - (B-Control) -0.57 [-0.71, -0.43]
Auditory imagery 0.83 A (Aphant.) - C (Control) -0.70 [-0.81, -0.58]
Auditory imagery 0.83 (B-Aphant.) - (B-Control) -0.31 [-0.48, -0.14]
Auditory imagery 0.83 (B-Aphant.) - C (Control) -0.44 [-0.59, -0.29]
Auditory imagery 0.83 (B-Control) - C (Control) -0.13 [-0.26, 0.01]
Sensory imagery 3.64 A (Aphant.) - (B-Aphant.) -0.23 [-0.36, -0.11]
Sensory imagery 3.64 A (Aphant.) - (B-Control) -0.52 [-0.64, -0.41]
Sensory imagery 3.64 A (Aphant.) - C (Control) -0.67 [-0.76, -0.57]
Sensory imagery 3.64 (B-Aphant.) - (B-Control) -0.29 [-0.43, -0.16]
Sensory imagery 3.64 (B-Aphant.) - C (Control) -0.44 [-0.56, -0.31]
Sensory imagery 3.64 (B-Control) - C (Control) -0.14 [-0.25, -0.03]
Spatial imagery -0.96 A (Aphant.) - (B-Aphant.) -0.11 [-0.18, -0.04]
Spatial imagery -0.96 A (Aphant.) - (B-Control) -0.16 [-0.22, -0.09]
Spatial imagery -0.96 A (Aphant.) - C (Control) 0.05 [0, 0.1]
Spatial imagery -0.96 (B-Aphant.) - (B-Control) -0.05 [-0.13, 0.03]
Spatial imagery -0.96 (B-Aphant.) - C (Control) 0.16 [0.09, 0.23]
Spatial imagery -0.96 (B-Control) - C (Control) 0.21 [0.15, 0.28]
Verbal strategies -2.14 A (Aphant.) - (B-Aphant.) 0.21 [0.11, 0.3]
Verbal strategies -2.14 A (Aphant.) - (B-Control) 0.19 [0.11, 0.28]
Verbal strategies -2.14 A (Aphant.) - C (Control) 0.16 [0.08, 0.23]
Verbal strategies -2.14 (B-Aphant.) - (B-Control) -0.02 [-0.13, 0.09]
Verbal strategies -2.14 (B-Aphant.) - C (Control) -0.05 [-0.15, 0.04]
Verbal strategies -2.14 (B-Control) - C (Control) -0.04 [-0.12, 0.05]
Raven +
Digit Span -3.39 A (Aphant.) - (B-Aphant.) -0.07 [-0.14, -0.01]
Raven +
Digit Span -3.39 A (Aphant.) - (B-Control) -0.01 [-0.07, 0.05]
Raven +
Digit Span -3.39 A (Aphant.) - C (Control) 0.01 [-0.04, 0.06]
Raven +
Digit Span -3.39 (B-Aphant.) - (B-Control) 0.07 [-0.01, 0.14]
Raven +
Digit Span -3.39 (B-Aphant.) - C (Control) 0.08 [0.02, 0.15]
Raven +
Digit Span -3.39 (B-Control) - C (Control) 0.02 [-0.04, 0.08]
Verbal reasoning -2.85 A (Aphant.) - (B-Aphant.) -0.09 [-0.18, -0.01]
Verbal reasoning -2.85 A (Aphant.) - (B-Control) -0.07 [-0.15, 0.01]
Verbal reasoning -2.85 A (Aphant.) - C (Control) 0.05 [-0.02, 0.11]
Verbal reasoning -2.85 (B-Aphant.) - (B-Control) 0.02 [-0.07, 0.12]
Verbal reasoning -2.85 (B-Aphant.) - C (Control) 0.14 [0.06, 0.23]
Verbal reasoning -2.85 (B-Control) - C (Control) 0.12 [0.04, 0.19]
Spatial span std. -2.18 A (Aphant.) - (B-Aphant.) -0.10 [-0.21, 0.01]
Spatial span std. -2.18 A (Aphant.) - (B-Control) -0.06 [-0.16, 0.04]
Spatial span std. -2.18 A (Aphant.) - C (Control) 0.11 [0.03, 0.2]
Spatial span std. -2.18 (B-Aphant.) - (B-Control) 0.04 [-0.09, 0.16]
Spatial span std. -2.18 (B-Aphant.) - C (Control) 0.21 [0.1, 0.32]
Spatial span std. -2.18 (B-Control) - C (Control) 0.17 [0.07, 0.27]
WCST -1.91 A (Aphant.) - (B-Aphant.) 0.00 [-0.09, 0.1]
WCST -1.91 A (Aphant.) - (B-Control) -0.04 [-0.12, 0.05]
WCST -1.91 A (Aphant.) - C (Control) 0.06 [-0.01, 0.13]
WCST -1.91 (B-Aphant.) - (B-Control) -0.04 [-0.15, 0.06]
WCST -1.91 (B-Aphant.) - C (Control) 0.06 [-0.04, 0.15]
WCST -1.91 (B-Control) - C (Control) 0.10 [0.01, 0.18]
Reading
comprehension -3.66 A (Aphant.) - (B-Aphant.) -0.06 [-0.2, 0.06]
Reading
comprehension -3.66 A (Aphant.) - (B-Control) 0.01 [-0.12, 0.13]
Reading
comprehension -3.66 A (Aphant.) - C (Control) 0.07 [-0.03, 0.17]
Reading
comprehension -3.66 (B-Aphant.) - (B-Control) 0.07 [-0.08, 0.21]
Reading
comprehension -3.66 (B-Aphant.) - C (Control) 0.14 [0, 0.26]
Reading
comprehension -3.66 (B-Control) - C (Control) 0.06 [-0.05, 0.18]

…And this concludes this data analysis report.

sessioninfo::session_info()
#> ─ Session info ───────────────────────────────────────────────────────────────
#>  setting  value
#>  version  R version 4.5.1 (2025-06-13)
#>  os       Ubuntu 24.04.3 LTS
#>  system   x86_64, linux-gnu
#>  ui       X11
#>  language en
#>  collate  C.UTF-8
#>  ctype    C.UTF-8
#>  tz       UTC
#>  date     2025-09-24
#>  pandoc   3.1.11 @ /opt/hostedtoolcache/pandoc/3.1.11/x64/ (via rmarkdown)
#>  quarto   1.8.24 @ /usr/local/bin/quarto
#> 
#> ─ Packages ───────────────────────────────────────────────────────────────────
#>  ! package                       * version    date (UTC) lib source
#>    abind                           1.4-8      2024-09-12 [1] RSPM
#>    aphantasiaCognitiveClustering * 1.0        2025-09-24 [1] local
#>    backports                       1.5.0      2024-05-23 [1] RSPM
#>    BayesFactor                     0.9.12-4.7 2024-01-24 [1] RSPM
#>    bayestestR                      0.17.0     2025-08-29 [1] RSPM
#>    BiocManager                     1.30.26    2025-06-05 [1] RSPM
#>    broom                           1.0.10     2025-09-13 [1] RSPM
#>    bslib                           0.9.0      2025-01-30 [1] RSPM
#>    cachem                          1.1.0      2024-05-16 [1] RSPM
#>    car                             3.1-3      2024-09-27 [1] RSPM
#>    carData                         3.0-5      2022-01-06 [1] RSPM
#>    cli                             3.6.5      2025-04-23 [1] RSPM
#>    coda                            0.19-4.1   2024-01-31 [1] RSPM
#>    correlation                     0.8.8      2025-07-08 [1] RSPM
#>    crayon                          1.5.3      2024-06-20 [1] RSPM
#>    datawizard                      1.2.0      2025-07-17 [1] RSPM
#>    desc                            1.4.3      2023-12-10 [1] RSPM
#>  P devtools                      * 2.4.5      2022-10-11 [?] RSPM
#>    digest                          0.6.37     2024-08-19 [1] RSPM
#>    dplyr                           1.1.4      2023-11-17 [1] RSPM
#>  P ellipsis                        0.3.2      2021-04-29 [?] RSPM
#>    evaluate                        1.0.5      2025-08-27 [1] RSPM
#>    factoextra                      1.0.7      2020-04-01 [1] RSPM
#>    farver                          2.1.2      2024-05-13 [1] RSPM
#>    fastmap                         1.2.0      2024-05-15 [1] RSPM
#>    forcats                         1.0.0      2023-01-29 [1] RSPM
#>  P foreign                         0.8-90     2025-03-31 [?] CRAN (R 4.5.1)
#>    Formula                         1.2-5      2023-02-24 [1] RSPM
#>    fs                              1.6.6      2025-04-12 [1] RSPM
#>    generics                        0.1.4      2025-05-09 [1] RSPM
#>    ggforce                         0.5.0      2025-06-18 [1] RSPM
#>    ggplot2                         4.0.0      2025-09-11 [1] RSPM
#>    ggpubr                          0.6.1      2025-06-27 [1] RSPM
#>    ggraph                          2.2.2      2025-08-24 [1] RSPM
#>    ggrepel                         0.9.6      2024-09-07 [1] RSPM
#>    ggsignif                        0.6.4      2022-10-13 [1] RSPM
#>    glue                            1.8.0      2024-09-30 [1] RSPM
#>    graphlayouts                    1.2.2      2025-01-23 [1] RSPM
#>    gridExtra                       2.3        2017-09-09 [1] RSPM
#>    gtable                          0.3.6      2024-10-25 [1] RSPM
#>    htmltools                       0.5.8.1    2024-04-04 [1] RSPM
#>    htmlwidgets                     1.6.4      2023-12-06 [1] RSPM
#>    httpuv                          1.6.16     2025-04-16 [1] RSPM
#>    igraph                          2.1.4      2025-01-23 [1] RSPM
#>    insight                         1.4.2      2025-09-02 [1] RSPM
#>    jquerylib                       0.1.4      2021-04-26 [1] RSPM
#>    jsonlite                        2.0.0      2025-03-27 [1] RSPM
#>    knitr                           1.50       2025-03-16 [1] RSPM
#>    labeling                        0.4.3      2023-08-29 [1] RSPM
#>    later                           1.4.4      2025-08-27 [1] RSPM
#>  P lattice                         0.22-7     2025-04-02 [?] CRAN (R 4.5.1)
#>    lifecycle                       1.0.4      2023-11-07 [1] RSPM
#>    lsr                             0.5.2      2021-12-01 [1] RSPM
#>    magrittr                        2.0.4      2025-09-12 [1] RSPM
#>  P MASS                            7.3-65     2025-02-28 [?] CRAN (R 4.5.1)
#>  P Matrix                          1.7-3      2025-03-11 [?] CRAN (R 4.5.1)
#>    MatrixModels                    0.5-4      2025-03-26 [1] RSPM
#>    mclust                          6.1.1      2024-04-29 [1] RSPM
#>    memoise                         2.0.1      2021-11-26 [1] RSPM
#>    mime                            0.13       2025-03-17 [1] RSPM
#>    miniUI                          0.1.2      2025-04-17 [1] RSPM
#>    mvtnorm                         1.3-3      2025-01-10 [1] RSPM
#>    patchwork                       1.3.2      2025-08-25 [1] RSPM
#>    pbapply                         1.7-4      2025-07-20 [1] RSPM
#>    pillar                          1.11.1     2025-09-17 [1] RSPM
#>    pkgbuild                        1.4.8      2025-05-26 [1] RSPM
#>    pkgconfig                       2.0.3      2019-09-22 [1] RSPM
#>    pkgdown                         2.1.3      2025-05-25 [1] any (@2.1.3)
#>    pkgload                         1.4.1      2025-09-23 [1] RSPM
#>    plyr                            1.8.9      2023-10-02 [1] RSPM
#>    polyclip                        1.10-7     2024-07-23 [1] RSPM
#>  P profvis                         0.4.0      2024-09-20 [?] RSPM
#>    promises                        1.3.3      2025-05-29 [1] RSPM
#>    purrr                           1.1.0      2025-07-10 [1] RSPM
#>    R6                              2.6.1      2025-02-15 [1] RSPM
#>    ragg                            1.5.0      2025-09-02 [1] RSPM
#>    rbibutils                       2.3        2024-10-04 [1] RSPM
#>    RColorBrewer                    1.1-3      2022-04-03 [1] RSPM
#>    Rcpp                            1.1.0      2025-07-02 [1] RSPM
#>    Rdpack                          2.6.4      2025-04-09 [1] RSPM
#>  P remotes                         2.5.0      2024-03-17 [?] RSPM
#>    renv                            1.1.4      2025-03-20 [1] RSPM (R 4.5.0)
#>    reshape2                        1.4.4      2020-04-09 [1] RSPM
#>    rlang                           1.1.6      2025-04-11 [1] RSPM
#>    rmarkdown                       2.29       2024-11-04 [1] RSPM
#>    rrapply                         1.2.7      2024-06-26 [1] RSPM
#>    rstatix                         0.7.2      2023-02-01 [1] RSPM
#>    S7                              0.2.0      2024-11-07 [1] RSPM
#>    sass                            0.4.10     2025-04-11 [1] RSPM
#>    scales                          1.4.0      2025-04-24 [1] RSPM
#>    see                             0.12.0     2025-09-14 [1] RSPM
#>    sessioninfo                     1.2.3      2025-02-05 [1] RSPM
#>    shiny                           1.11.1     2025-07-03 [1] RSPM
#>    shinyBS                         0.61.1     2022-04-17 [1] RSPM
#>    stringi                         1.8.7      2025-03-27 [1] RSPM
#>    stringr                         1.5.2      2025-09-08 [1] RSPM
#>    superb                        * 1.0.0      2025-08-18 [1] RSPM
#>    systemfonts                     1.2.3      2025-04-30 [1] RSPM
#>    textshaping                     1.0.3      2025-09-02 [1] RSPM
#>    tibble                          3.3.0      2025-06-08 [1] RSPM
#>    tidygraph                       1.3.1      2024-01-30 [1] RSPM
#>    tidyr                           1.3.1      2024-01-24 [1] RSPM
#>    tidyselect                      1.2.1      2024-03-11 [1] RSPM
#>    tweenr                          2.0.3      2024-02-26 [1] RSPM
#>  P urlchecker                      1.0.1      2021-11-30 [?] RSPM
#>  P usethis                       * 3.2.1      2025-09-06 [?] RSPM
#>    utf8                            1.2.6      2025-06-08 [1] RSPM
#>    vctrs                           0.6.5      2023-12-01 [1] RSPM
#>    viridis                         0.6.5      2024-01-29 [1] RSPM
#>    viridisLite                     0.4.2      2023-05-02 [1] RSPM
#>    withr                           3.0.2      2024-10-28 [1] RSPM
#>    xfun                            0.53       2025-08-19 [1] RSPM
#>    xtable                          1.8-4      2019-04-21 [1] RSPM
#>    yaml                            2.3.10     2024-07-26 [1] RSPM
#> 
#>  [1] /home/runner/.cache/R/renv/library/aphantasiaCognitiveClustering-3eb0a6a4/linux-ubuntu-noble/R-4.5/x86_64-pc-linux-gnu
#>  [2] /home/runner/.cache/R/renv/sandbox/linux-ubuntu-noble/R-4.5/x86_64-pc-linux-gnu/179fe56a
#> 
#>  * ── Packages attached to the search path.
#>  P ── Loaded and on-disk path mismatch.
#> 
#> ──────────────────────────────────────────────────────────────────────────────